病院長ブログ
執筆論文解説33 肛門手術後にこむら返り用芍薬甘草湯
">

本論文は投稿論文です。通常、肛門の術後は痛いです。特に排便時は激痛です。疾患としては痔核にたいする痔核結紮切除術が痛く、複数個の痔核を切除するほど痛く、実は性別(男性)、年齢(若い人)にも影響されます。当院では通常は非ステロイド系消炎鎮痛剤を投薬しますがそれでも痛みが強いため今回は芍薬甘草湯を上乗せして、その効果を「上乗せをした群」と「上乗せしなかった群」に分けて前向きに調べました。芍薬甘草湯は筋肉の鎮痙作用をもつ漢方薬で「こむら返り」(こむらとはふくらはぎの事です。蛇のコブラではないです!笑)に使用される漢方薬です。芍薬と甘草の2つの生薬のブレンド効果で鎮痙作用を持つと言われています。術後の痛みは創自身の痛みだけでなくそれに連動した肛門括約筋の攣縮が悪影響(肛門が過緊張になる)を及ぼすと考えられておりその攣縮を芍薬甘草湯で抑え込もうと考えました。
対象は「投与あり」群18例(女性11)/「投与なし」群21例(女性13)です。年齢は53.0歳/49.3歳、切除痔核個数3.2個/3.2個です。併行したゴム輪結紮は0.2個/0.4個です。

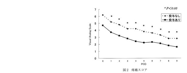
疼痛スコア(0点から10点で評価)は術後9日目まで測定し術当日を除く全てで「投与あり」群で小さい(痛みが少ない)という結果でした(芍薬甘草湯を併用している方が痛みが小さい)。疼痛スコアが3点以下になるまでの日数、補助的に使用する鎮痛注射剤の使用頻度も有意に「投与あり」群で少なかったという結果でした。このように芍薬甘草湯上乗せの効果は予想以上に見られました。


漢方薬は副作用が少なく今日からでも施行可能な投薬であると本論文では謳っています。ただし服用の仕方にコツがあります。